¸ð´õ³ª°¡ °³¹ß ÁßÀÎ ½ÅÁ¾ Äڷγª¹ÙÀÌ·¯½º °¨¿°Áõ(Äڷγª19) ¹é½Å Èĺ¸¹°Áú 'mRNA-1273'ÀÌ ´ëÇ¥ÀûÀÎ °íÀ§Ç豺ÀÎ °í·ÉÀÚ ´ë»ó 1»ó ÀÓ»ó½ÃÇè¿¡¼ ¾ÈÀü¼º ¹× ¸é¿ª¿ø¼ºÀ» È®ÀÎ ¹Þ¾Ò´Ù. ¸ð´õ³ª´Â Á¢Á¾ ´ë»óÀÚ ¼ö¸¦ È®´ëÇÏ°í ´Ù¾çÇÑ ÀÎÁ¾À» Æ÷ÇÔÇØ ÁøÇà ÁßÀÎ 3»ó ÀÓ»ó COVE ¿¬±¸¸¦ ÅëÇØ 'mRNA-1273'ÀÇ È¿´ÉÀ» È®Á¤ ÁöÀ» °èȹÀÌ´Ù.
¸ð´õ³ª´Â ´çÃÊ ÁøÇàÇÑ 'mRNA-1273'ÀÇ 1»ó ÀÓ»ó½ÃÇè¿¡¼ ´ë»óÀÚÀÇ ¿¬·ÉÀ» ³ô¿© È®Àå ½ÃÇèÀ» ÁøÇàÇß´Ù. °í·ÉÀÌ Äڷγª19 °¨¿°ÀÚ¿¡¼ »ç¸Á·üÀ» ³ôÀÌ´Â À§ÇèÀÎÀÚÀÎ ¸¸Å ¹é½Å Á¢Á¾ÀÇ ÃÖ¿ì¼± ¼øÀ§°¡ µÉ ÇØ´ç Àα¸¿¡¼ ¾ÈÀü¼º ¹× È¿´ÉÀ» È®ÀÎÇÏ´Â °ÍÀÌ ¹«¾ùº¸´Ù Áß¿äÇϱ⠶§¹®ÀÌ´Ù.
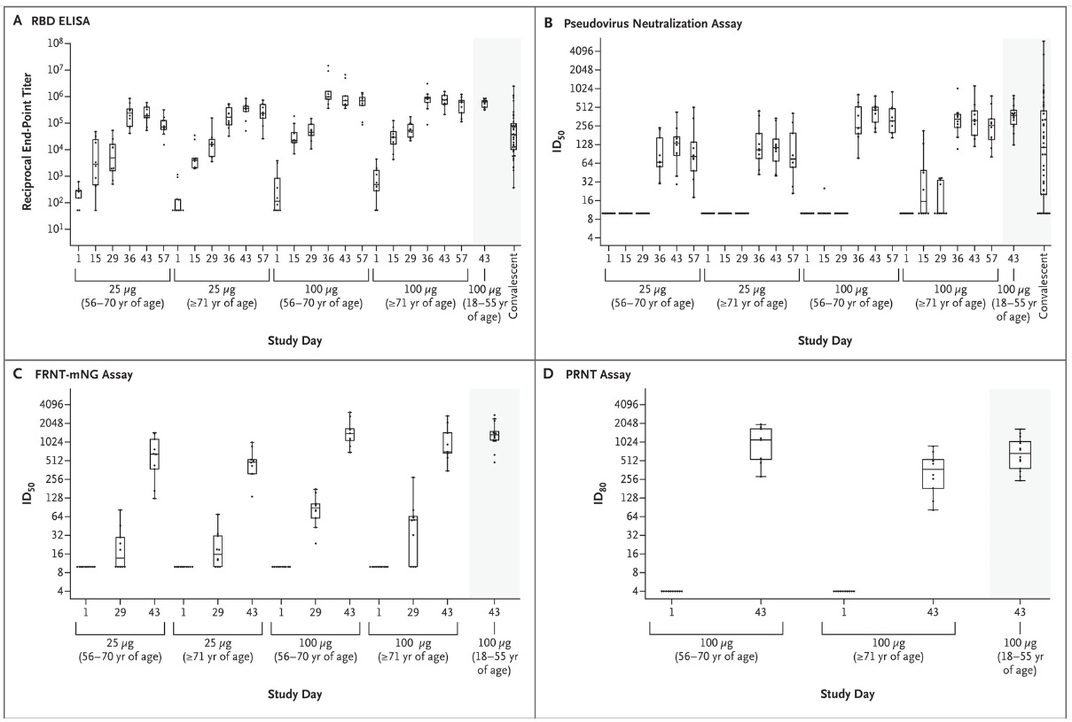
ÃÑ 40¸íÀÇ ´ë»óÀÚ¸¦ 56~70¼¼ ¿¬·É±º(20¸í)°ú 71¼¼ ÀÌ»ó ¿¬·É±º(20¸í)À¸·Î ±¸ºÐÇØ mRNA-1273 25¥ìg ¹× 100¥ìg µÎ °¡Áö ¿ë·®À» 28ÀÏ °£°ÝÀ¸·Î 2ȸ Á¢Á¾ÇßÀ¸¸ç, ù Åõ¿© ÈÄ 57ÀϱîÁöÀÇ ÀÌ»ó¹ÝÀÀ ¹× °áÇÕÇ×ü¿Í ÁßÈÇ×ü ¼öÄ¡ µîÀ» ¼öÁýÇß´Ù.
¹é½ÅÀÇ ÀÌ»ó¹ÝÀÀÀº Åë»ó Á¢Á¾ ÈÄ 1ÁÖÀÏ À̳» ³ªÅ¸³ª´Â ¿¹ÃøÀÌ»ó¹ÝÀÀ(Solicited adverse events)À» Æò°¡Çϴµ¥, ´ëºÎºÐÀÌ °æÁõ ¶Ç´Â ÁßµîÁõÀ̾ú´Ù. ÈçÇÑ ÀÌ»ó¹ÝÀÀÀ¸·Î´Â ÇÇ·Î, ¿ÀÇÑ, µÎÅë, ±ÙÀ°Åë, ÁÖ»çºÎÀ§ÅëÁõÀÌ ¿ë·®°ú ºñ·ÊÇØ ³ªÅ¸³µÀ¸¸ç, 2Â÷ Á¢Á¾ ÈÄ ´õ¿í ÈçÇÏ°Ô ³ªÅ¸³µ´Ù(±×¸²1).
¿¬±¸ÁøÀº ¸é¿ª¿ø¼ºÀ» ³ªÅ¸³»´Â Ç×ü ¹ÝÀÀÀ» 4°¡Áö ¹æ¹ýÀ¸·Î Æò°¡(±×¸²2)Çߴµ¥, ±×Áß Äڷγª19 ¹ÙÀÌ·¯½º ½ºÆÄÀÌÅ©(S) ´Ü¹éÁú°úÀÇ °áÇÕ·ÂÀ» ³ªÅ¸³»´Â °áÇÕÇ×ü ¹ÝÀÀÀº 'S-2P IgG GMT(geometric mean titer)'¶ó´Â Ç×ü°¡¸¦ ºÐ¼®Çß´Ù.
±× °á°ú S-2P IgG GMT´Â 1Â÷ Á¢Á¾ ÈÄ ºü¸£°Ô »ó½ÂÇØ 57Àϰ 25¥ìg Åõ¿©±º¿¡¼ 56~70¼¼ ¿¬·É±ºÀº 32¸¸3,945, 71¼¼ ÀÌ»ó ¿¬·É±ºÀº 112¸¸8,391·Î ³ªÅ¸³µÀ¸¸ç, 100¥ìg Åõ¿©±º¿¡¼´Â °¢°¢ 118¸¸3,066°ú 363¸¸8,522·Î ³ªÅ¸³µ´Ù.
Ç÷û ÁßÈÇ×ü ¹ÝÀÀÀº 3°¡Áö ¹æ¹ýÀ¸·Î Æò°¡Çߴµ¥, ¸ðµç 2Â÷ Á¢Á¾ÀÚ(ÃÑ 39¸í, 1¸íÀº 1Â÷ Åõ¿© ÈÄ Å»¶ô)¿¡¼ ÁßÈÇ×ü°¡ ¹ß°ßµÆÀ¸¸ç ÀÌÀü 18~55¼¼ ¼ºÀο¡¼ ³ªÅ¸³ °á°ú¿Í À¯»çÇß´Ù. ¶ÇÇÑ Äڷγª19 °¨¿° ÈÄ È¸º¹±â ȯÀÚÀÇ Ç÷Àå ÁßÈÇ×ü Áß¾Ó°ª°ú ºñ±³Çؼµµ ³ôÀº ¼öÄ¡¸¦ º¸¿©Áá´Ù.
»Ó¸¸ ¾Æ´Ï¶ó mRNA-1273 Á¢Á¾Àº 1Çü helper T cell °ü·Ã CD4 »çÀÌÅäÄ«ÀÎ ¹ÝÀÀÀ» °ÇÏ°Ô À¯µµÇÑ °ÍÀ¸·Î ³ªÅ¸³µ´Ù.
¿¬±¸ÁøÀº "mRNA-1273Àº °í·ÉÀ» Æ÷ÇÔÇÑ ¼Ò±Ô¸ð ÀÓ»ó½ÃÇè¿¡¼ °æÁõ ȤÀº ÁßµîÁõ ÀÌ»ó¹ÝÀÀÀ» º¸¿´À¸¸ç, 100¥ìg ¿ë·®ÀÌ 25¥ìg ¿ë·®º¸´Ù ´õ ³ôÀº °áÇÕÇ×ü ¹× ÁßÈÇ×ü ¹ÝÀÀÀ» À¯µµÇØ 3»ó ÀÓ»ó½ÃÇè¿¡¼ÀÇ 100¥ìg »ç¿ëÀ» ÁöÁöÇØÁØ´Ù"°í ¸»Çß´Ù.
ÇØ´ç ÀÓ»ó½ÃÇè °á°ú¿¡ ´ëÇØ °í´ë±¸·Îº´¿ø °¨¿°³»°ú ±è¿ìÁÖ ±³¼ö´Â "ÀÌ»ó¹ÝÀÀÀº ÃæºÐÈ÷ ¿¹»ó °¡´ÉÇϰí Çã¿ë °¡´ÉÇÑ ¼öÁØ"¶ó¸ç "¿ë·® ºñ·ÊÇÑ ÀÌ»ó¹ÝÀÀÀº Åõ¿©ÇÏ´Â Ç׿ø ¾çÀÌ Áõ°¡ÇÏ¸é ´ç¿¬È÷ ÀÌ»ó¹ÝÀÀµµ Áõ°¡ÇÏ´Â °ÍÀ̰í, µÎ ¹øÂ° Á¢Á¾¿¡¼´Â ÀÏÁ¾ÀÇ ºÎ½ºÅÍ È¿°ú¸¦ º¸À̱⠶§¹®¿¡ ÀÌ»ó¹ÝÀÀ ¿ª½Ã ´Ã ¼ö ÀÖ´Ù"°í ¼³¸íÇß´Ù.
À̾î "Äڷγª19 °¨¿°ÀÚ Áß °í·ÉÀÚ¿¡¼ ÁßÁõ ȤÀº »ç¸Á ¹ß»ýÀÌ °¡Àå ³ô¾Æ »ç½Ç»ó ¹é½Å Á¢Á¾ÀÌ °¡Àå ÇÊ¿äÇÑ ±ºÀ¸·Î °í·É Àα¸¿Í ¸¸¼ºÁúȯÀÚ¸¦ ²ÅÀ» ¼ö ÀÖ´Ù"¸ç "ÇØ´ç 1»ó ÀÓ»ó½ÃÇèÀº ¼Ò±Ô¸ðÀ̰í 2¸íÀ» Á¦¿ÜÇÑ Á¢Á¾ÀÚ ´ëºÎºÐÀÌ ¹éÀÎÀ̶ó´Â Á¡¿¡¼ ÀÎÁ¾°£ ´ëÇ¥¼º¿¡ ¹®Á¦ Á¦±â¸¦ ÇÒ ¼ö´Â ÀÖ°ÚÁö¸¸, ³ªÀÌµç ¼ºÀÎ ¹× 71¼¼ ÀÌ»ó °í·ÉÀÚ¿¡¼ mRNA-1273ÀÌ ¾ÈÀüÇϰí È¿°úÀûÀ¸·Î ¸é¿ª¹ÝÀÀÀ» À¯µµÇßÀ½À» º¸¿©Áá´Ù´Â ¸é¿¡¼ ¹Ý°¡¿î ¼Ò½Ä"À̶ó°í Æò°¡Çß´Ù.
ÇÑÆí, ¸ð´õ³ª´Â ÇöÀç 'mRNA-1273'ÀÇ 3»ó ÀÓ»óÀÎ COVE ¿¬±¸¸¦ ÁøÇà ÁßÀÌ´Ù. ¸ð´õ³ª°¡ °ø°³ÇÑ ÀÓ»ó½ÃÇè ÇÁ·ÎÅäÄÝ ¹× Âü°¡ÀÚ µî·Ï ÇöȲ¿¡ µû¸£¸é, ÇöÀç±îÁö ¸ñÇ¥ ´ë»óÀÚÀÎ 3¸¸¸í Áß 2¸¸8043¸í(10¿ù 2ÀÏ ±âÁØ)ÀÌ µî·ÏµÆÀ¸¸ç ±×Áß 1¸¸9,369¸íÀº 2Â÷ Á¢Á¾±îÁö ¿Ï·áÇÑ °ÍÀ¸·Î ³ªÅ¸³µ´Ù.
COVE ¿¬±¸´Â 18¼¼ ÀÌ»ó ¼ºÀÎÀ» ´ë»óÀ¸·Î ÇÑ ¹«ÀÛÀ§ À§¾à ´ëÁ¶ ¿¬±¸·Î, ¸ð´õ³ª´Â ÇØ´ç ¿¬±¸¿¡¼ 65¼¼ ÀÌ»ó±ºÀ» 'À§Ç豺'À¸·Î, 65¼¼ ¹Ì¸¸±ºÀ» ºñÀ§Ç豺À¸·Î ³ª´² ºÐ¼®ÇÒ °èȹÀÌ´Ù. ¸ð´õ³ª´Â ÇØ´ç ¿¬±¸°¡ À̸£¸é 10¿ù, ´Ê¾îµµ 12¿ù±îÁö´Â ÆÇµ¶ÀÌ °¡´ÉÇÒ °ÍÀ̶ó°í ¹àÈù ¹Ù ÀÖ´Ù.



ÇÁ¸°Æ®
½ºÅ©·¦
¸ÞÀÏÀü¼Û